最新!疫情“小波动”,加强针来了!疫苗能否混打?……你关心的问题都在这儿!
发布时间:Oct 29, 2021 | 作者:
近期,国内多地出现新冠肺炎本土确诊病例和无症状感染者,防控形势严峻复杂。
为巩固来之不易的疫情防控成果确保人民群众身体健康和生命安全这些防疫信息需周知!还有这些人也需要核酸检测
一、国庆假期以来有外出旅行史的人员,请密切关注疫情发生地区公布的病例和无症状感染者流调轨迹信息和中高风险地区信息。与阳性感染者活动的时空轨迹重叠人员、到过或途经中高风险地区人员、同时空伴随人员,要立即向社区(村)、住宿宾馆和单位报告,配合落实隔离医学观察。
二、自西安、兰州、嘉峪关、张掖、陇南、阿拉善、锡林郭勒、银川、吴忠、邢台、德宏、遵义、长沙、海东、保定、天门、北京昌平区、自贡、株洲、呼和浩特、鄂尔多斯、石家庄、日照等发生本土疫情地区入(返)济人员,请携带48小时内核酸检测阴性证明,抵达目的地后再进行1次核酸检测。
三、国庆假期以来从上述地区入(返)济已经抵达目的地的人员,请主动向社区(村)、住宿宾馆和单位报备,按照鲁指办发214号文件,开展2次(间隔24小时)核酸检测。
四、国庆假期以来入(返)济人员,如果乘坐公共交通工具,或曾在旅游景点等人群密集场所驻留等,建议进行1次核酸检测。
五、建议非必要不出省,非必要不前往中高风险地区或有病例报告的区域。中风险地区的人员原则上暂缓来济,如确需出行,须持当地疫情防控指挥部审批证明,并持有48小时内有效新冠病毒核酸检测阴性结果。中高风险区,建议出行前提前通过中国政府网及国务院客户端小程序查询目的地的最新疫情防控政策,主动配合当地疫情防控措施,途中做好个人防护。
六、严格落实“戴口罩、勤洗手、常测温、少聚集”等个人防护措施,养成良好的个人卫生习惯。若出现发热、干咳、乏力、咽痛、嗅(味)觉减退、腹泻等不适症状时,立即到医疗机构发热门诊就诊,并告知医生旅居史,不要自行用药;就医途中全程佩戴口罩,避免乘坐公共交通工具。
六、在没有接种禁忌症的情况下,建议符合条件的公众全程接种新冠病毒疫苗,提倡完成全程免疫满6个月的市民进行加强免疫。
素材来源:济南市疾病预防控制中心办公室
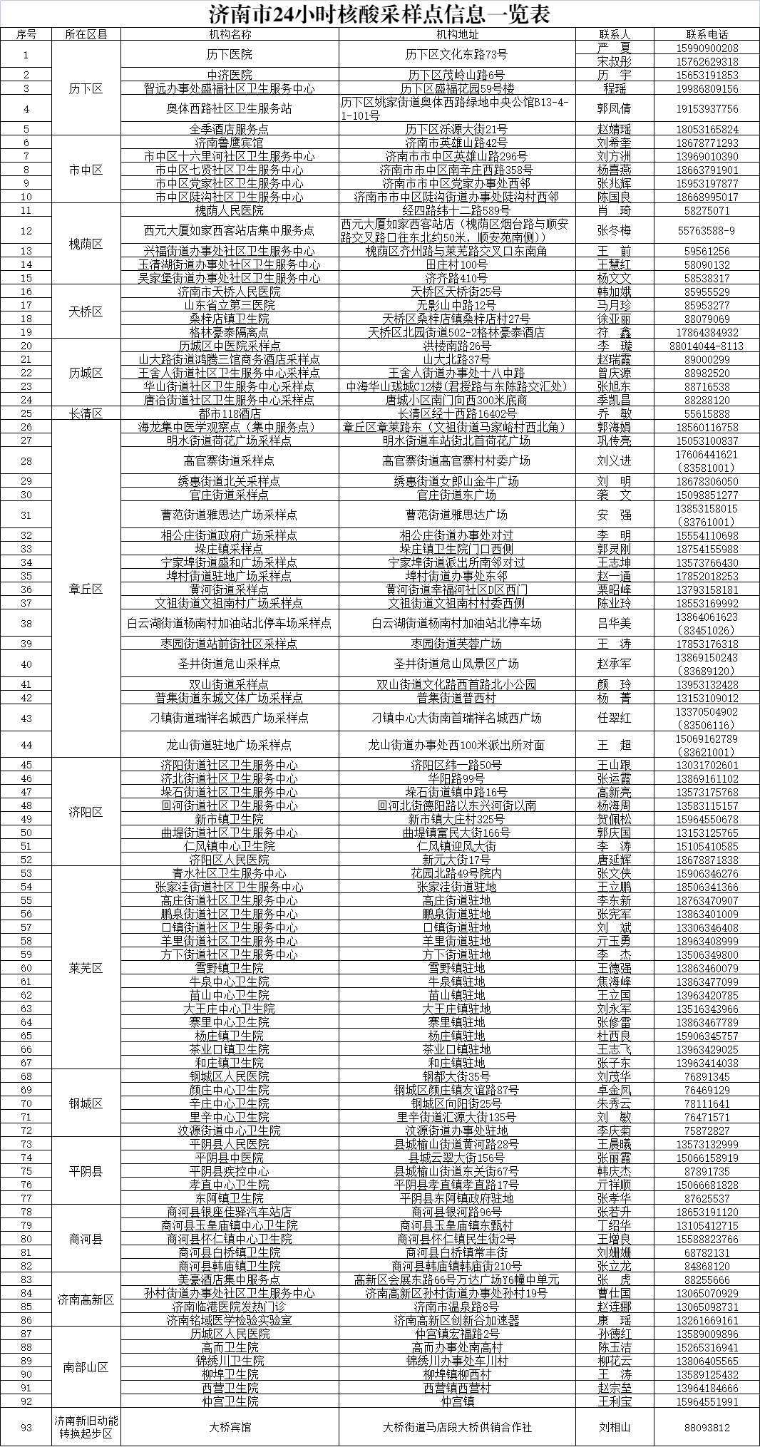
02最新!济南公布93家24小时核酸检测机构和采样点名单
为方便济南市民进行全天候核酸检测,有效掌握健康状况,10月26日,济南市卫生健康委公布济南24小时核酸检测机构和采样点详细信息。请有需要的市民,及时主动就近选择检测点进行核酸检测,并做好自我健康监测。
24小时检测机构

24小时采样点

素材来源:爱济南新闻客户端
03如何查询离您最近的核酸检测机构
亲,还记得电子健康码上的核酸检测地图吗?


1、关注【健康山东服务号】
就是那个能查询离您最近的核酸检测机构,还能一键腾讯/高德导航的那个核酸检测机构地图。
2、选择【专项服务】
3、点击【健康通行卡】
4、点击【核酸检测机构】
查询您身边的核酸检测机构
一键导航直达
现在他更全了!!!
新增到了651家机构,数量增大,密度更大,离咱家也更近了,真正的加量不加价哦。
核酸检测机构能在码上找,检测结果当然也在码上查啦,点击电子健康码下方的“核酸检测信息”,即可查询您的核酸检测结果:
除了以上方式,您还可以通过疫情服务平台以列表形式查看全省核酸检测机构:
查询流程:
1、关注【健康山东服务号】
2、选择【专项服务】
3、点击【疫情服务平台】
4、点击【核酸检测机构】
即可查看全省新冠肺炎病毒核酸检测机构名单。
素材来源:健康山东服务号
04新冠疫苗加强针开打
你关心的5个问题都有回应了
10月24日下午,国务院联防联控机制在北京召开新闻发布会,会上专家介绍了近期新冠疫苗加强针接种工作,大家关心的五个问题在这场发布会上都有了回应。
01为什么要打新冠疫苗加强针?
中国疾控中心免疫规划首席专家王华庆:
根据国内外的研究结果分析,现在疫苗接种后预防感染,尤其是预防重症和死亡的效果是比较好,也是非常显著。完成全程免疫接种疫苗后的感染风险和未接种疫苗感染风险相比大大降低。
通过研究看到,这是国内外的结果,随着接种疫苗时间的推移,受种者的中和抗体水平在下降,保护效果在减弱。这种情况下通过接种疫苗针次的增加,是提高免疫水平,增加保护性的一项措施。
疫苗研发专班就新冠病毒疫苗加强免疫策略组织专家进行专门论证,根据前期加强免疫研究的结果,考虑到疫苗安全性、免疫原性等相关因素,在这个基础上提出了加强免疫策略。
02什么人可以打新冠疫苗加强针?
国家卫生健康委疾控局副局长吴良有:
根据专家研究论证结果和疫情防控需要,近日国务院联防联控机制启动了新冠病毒疫苗加强免疫接种工作,完成国药中生北京公司、北京科兴公司、国药中生武汉公司的灭活疫苗和天津康希诺公司的腺病毒载体疫苗全程接种满6个月的18岁及以上人群可进行一剂次的加强免疫。
根据疫情防控需要,目前加强免疫接种优先在感染高风险人群和保障社会基本运行的关键岗位人员中开展。
同时,我们要求各地统筹考虑口岸、边境、重大活动等疫情防控需要和60岁及以上等感染后导致重症风险高的高危人群等因素,扩大加强免疫接种人群范围。对其他符合条件且有接种需要的人群也提供加强免疫接种服务。大家如果有加强免疫的接种需要也可以咨询当地的具体安排。
03新冠疫苗加强针可以“混打”吗?
中国疾控中心免疫规划首席专家王华庆:
最近世界卫生组织有一个免疫战略咨询专家组,召开了关于疫苗使用的专门会议,会议上对脊灰疫苗、流感疫苗、疟疾疫苗以及我们关注的新冠疫苗提出了相应的建议,这里也提到关于加强免疫的问题。
从加强免疫上他们建议使用同源疫苗,就是相同技术路线的疫苗,尤其是灭活疫苗建议开展后续增加针次加强免疫接种。也考虑了不同技术路线,也就是异源疫苗接种的问题,异源疫苗接种专业上来说就是序贯免疫,关于序贯免疫在新冠这一块儿如果采取一个措施的话,必须有它的证据、有它的研究结果。后续会根据相关企业研究的序贯免疫结果来进行论证,提出相关建议。
前面也提到,我国目前采取的加强免疫接种策略是同源疫苗接种。即使用灭活疫苗完成全程免疫的还是用灭活疫苗加强,使用腺病毒载体疫苗完成全程免疫的还是用腺病毒载体疫苗加强。
04新冠疫苗加强针安全吗?
中国疾控中心免疫规划首席专家王华庆:
根据前期临床试验加强免疫接种的研究结果看,它发生的不良反应没有超出既往针次出现不良反应的水平。
接种疫苗会出现一些不良反应,第三剂次接种可能会出现发热、头痛、疲劳,这些都是属于一般反应,不需要专门的治疗,但是假如遇到了症状一直在持续,又感觉到症状比较严重,要及时就医。如果你怀疑是疫苗的问题,要及时进行报告。
05未来不断地接种新冠疫苗是否会成为常态?
中国疾控中心免疫规划首席专家王华庆:
根据目前国内外研究结果看,随着接种疫苗时间的推移,一些人的中和抗体水平在下降,保护效果在削弱。在这种情况下,加强免疫可以提高抗体水平,快速让抗体水平反弹的一项措施。
一个疫苗接种几剂次,给谁打,什么时间打,这属于免疫程序当中的重要内容。免疫程序的科学制定,需要根据前期研究的相关结果,比如说疫苗安全性、有效性、保护效果以及控制疾病的需要,还包括病毒变异的情况和疾病的特性来最终确定的。
新冠肺炎是新发传染病,病毒是新病毒,现在用的疫苗也是新疫苗,这里包括了多条技术路线。要确定它的最佳程序需要不断研究和探讨,一个理想的疫苗我们希望通过全程免疫后起到很好的效果。即使后面需要加强,它的加强剂次也是有限的,所以我们希望将来有更好的疫苗,有更好的接种程序来达到牢固的人群保护效果。但不断地加强免疫、不断地开展加强接种不是我们最终的选择。
素材来源:澎湃新闻
05 疫情防控小贴士近期“小波动”该怎么办?
06 疫情防控 | 山东出行防疫政策调整 (一)离开山东省政策
一般情况下,非必要不前往有中高风险地区的地级市和有本土疫情扩散风险的地级市。
(二)进入山东省政策
1.高风险地区人员暂缓来鲁。2.中风险地区的人员原则上暂缓来鲁,如确需出行,须持当地疫情防控指挥部审批证明,并持有48小时内有效新冠病毒核酸检测阴性结果。3.对来自中高风险地区和14天内到过或途经中高风险地区的入鲁返鲁人员,实行14天集中隔离。4.对全域封闭管理地区、与阳性感染者活动的时空轨迹重叠人员、到过或途经中高风险地区人员、同时空伴随人员,参照中高风险地区人员管理。5.自发生本土疫情地区所在地级市的入(返)鲁人员,请携带48小时内核酸检测阴性证明,抵达目的地后再进行1次核酸检测。6.国庆假期以来,从发生本土疫情地区所在地级市入(返)鲁已经抵达目的地的人员,请主动向社区(村)、住宿宾馆和单位报备,按规定开展2次(间隔24小时)核酸检测。7.国庆假期以来入(返)鲁人员,如果乘坐公共交通工具,或曾在旅游景点等人群密集场所驻留等,建议进行1次核酸检测。8.对发生本土疫情但尚未公布风险等级的,以及经研判认为疫情可能扩散的毗邻地区的,参照中风险地区相关政策执行。9.相关政策在本轮疫情结束后另行调整。
素材来源:济南市卫生健康委官微
07 12省份24市旗!本轮疫情224名感染者轨迹关系图更新
素材来源:北京日报
08日照一地升为中风险五莲新增确诊详情公布曾到医院等地
2021年10月26日0时至24时,山东省报告新增确诊病例5例(日照市报告本土病例4例,系外省返鲁确诊病例的密切接触者;青岛市报告韩国输入1例)。
五莲县新增确诊为病例赵某某密接,曾到医院、饭店等地。
据健康五莲官方微信10月27日消息,10月26日中午12时至24时,五莲县新增1例新冠肺炎确诊病例。
徐某某,为病例1赵某某的密切接触者,10月26日经专家组判定为确诊病例(轻型)。
经流调结果显示,活动轨迹如下:
20日晚,徐某某与确诊病例赵某某等4人在山城全鸡店功臣厅吃饭,饭后到城市盛景小区门口取快递回家。
21日8:00,自驾车陪妻子到县人民医院检验科做尿检、彩超、心电图后回家。
22日8:00,自驾车陪妻子到县人民医院检验科进行血检后回家。16:30,到县人民医院检验科取化验报告,到4楼诊室复诊后回家。
23日8:00,自驾车陪妻子到县人民医院16楼内分泌科为其妻办理住院手续,10:00,陪妻到1楼核酸检测点采样后到16楼病房住院。
24日-25日,在医院陪床。
请近期与该确诊病例活动的时空轨迹重叠人员、到过或途径中高风险地区人员、同时空伴随人员,第一时间向所在单位、社区(村)、入住酒店报备个人信息,居家隔离不外出,并主动配合落实核酸检测、医学观察或健康监测等疫情防控措施。
10月27日,日照市委统筹疫情防控和经济运行工作领导小组(指挥部)发布通告。
根据国务院联防联控有关规定,结合日照市疫情防控处置情况,经综合研判,日照市委统筹疫情防控和经济运行工作领导小组(指挥部)决定,自2021年10月27日零时起,将五莲县洪凝街道学府壹号小区定为中风险地区。
中风险地区实行封闭管理,限制人员流动,最大限度严防疫情风险传播。
日照报告本土确诊病例后,济南、青岛、烟台、淄博、临沂、滨州、威海、东营、德州、泰安、济宁、聊城、菏泽等市疾控中心发布紧急提醒或公众健康提示。
10月26日,德州夏津县出现日照阳性病例密切接触者,夏津县发布寻找次密接人员的紧急通告行动,并公布活动轨迹;同日,日照山海天旅游度假区发布《关于紧急寻找1名密切接触者同轨迹人员的公告》。
●夏津县关于寻找次密接人员的紧急通告
2021年10月26日上午11时50分,夏津县疾控中心收到德州市疾控中心反馈,我县流入人员李某(女)与新冠肺炎确诊病例存在密切接触。目前,密切接触者李某已按要求落实了集中隔离管控措施,10月26日下午李某核酸样本经两家检测机构、两种试剂检测结果均为阴性。
经流行病学及大数据调查,李某行程如下:
10月25日13时50分左右乘坐德州客运中心客运班车(鲁NA9993)到达夏津县客运中心,步行至鸿洲酒店,25日14时12分入住酒店后楼,26日11时07分办理退房手续;
14时30分在人社局办公楼(原开发区管委会)对面兰州牛肉拉面餐馆就餐;
18时30分至19时36分在鸿洲酒店南门斜对过铁锅柴鸡饭店就餐;
10月26日上午8点在鸿洲酒店门口乘坐网约车,前往香赵庄镇王曲庄村王某家中维修光伏发电设备后返回,10时40分回到鸿洲酒店。
请在上述时间、地点与李某可能有接触或轨迹交叉的人员,第一时间向属地乡镇、村(社区)或工作单位报告,并配合进行核酸检测,落实疫情防控措施。期间如有发热、咳嗽等症状,要立即拨打120,由120救护车接至发热门诊就诊。
夏津县疫情防控指挥部电话:2199662
日照山海天旅游度假区发布《关于紧急寻找1名密切接触者同轨迹人员的公告》
10月26日上午,接五莲疾控中心协查函,其一名确诊病例赵某某乘坐G2261/G2260次列车(07车厢9C座)由银川至日照西,与其同车厢人员梁某被判定为密切接触者。梁某,现居住山海天苏家村俊冉宾馆,目前已对梁某开展全面排查管控,26日第一次核酸检测阴性。经流调,其主要活动轨迹为:
18日乘坐G2260列车07车厢04D号座位,16:10到达日照西站,乘坐17路公交车在日照职业技术学院下车,17:10坐39路公交车,到日照航海工程职业学院老校区(刘东楼村)入住苏家村俊冉宾馆,另有同宿舍2人,后未外出。
19日中午11点左右、下午16时左右到学校门口摊点打包带回宾馆就餐,其他时间未外出。
19-25日,除在培训学校场地培训外,均在宾馆活动,在苏家村中通快递沿街早餐点等摊点打包带回宾馆就餐,期间(自述可能是21日)曾到老校区食堂就餐一次。
25日下午15时左右到刘东楼刘家全锅牛肉汤就餐,15:20左右到老校区拿准考证,17:40左右到新时代烘焙购物。
26日早,统一乘坐学校大巴车到日照航海工程职业学院新校区考试,但考试取消未参加,在侯考室等待。后由负压救护车接至集中隔离点落实隔离观察。
请在上述时间段可能与该密接有过接触的人员,在做好个人防护的情况下尽快联系当地疾控机构或疫情防控指挥部,及时进行报告、核酸检测并接受健康管理。
素材来源:山东省卫健委、健康五莲
09截至10月26日24时新型冠状病毒肺炎疫情最新情况
10月26日0—24时,31个省(自治区、直辖市)和新疆生产建设兵团报告新增确诊病例59例。其中境外输入病例9例(上海2例,广东2例,天津1例,辽宁1例,福建1例,山东1例,广西1例),含3例由无症状感染者转为确诊病例(天津1例,辽宁1例,广东1例);本土病例50例(内蒙古32例,其中阿拉善盟31例、锡林郭勒盟1例;贵州5例,均在遵义市;山东4例,均在日照市;甘肃4例,其中兰州市3例、陇南市1例;北京3例,其中昌平区2例、丰台区1例;宁夏2例,均在银川市),含6例由无症状感染者转为确诊病例(贵州5例,北京1例)。无新增死亡病例。无新增疑似病例。
当日新增治愈出院病例19例,解除医学观察的密切接触者429人,重症病例较前一日增加6例。
境外输入现有确诊病例379例(其中重症病例1例),现有疑似病例3例。累计确诊病例9530例,累计治愈出院病例9151例,无死亡病例。
截至10月26日24时,据31个省(自治区、直辖市)和新疆生产建设兵团报告,现有确诊病例643例(其中重症病例27例),累计治愈出院病例91620例,累计死亡病例4636例,累计报告确诊病例96899例,现有疑似病例4例。累计追踪到密切接触者1237350人,尚在医学观察的密切接触者36743人。
31个省(自治区、直辖市)和新疆生产建设兵团报告新增无症状感染者26例,其中境外输入22例,本土4例(云南3例,均在德宏傣族景颇族自治州;河北1例,在石家庄市);当日转为确诊病例9例(境外输入3例);当日解除医学观察9例(均为境外输入);尚在医学观察的无症状感染者392例(境外输入359例)。
累计收到港澳台地区通报确诊病例28787例。其中,香港特别行政区12330例(出院12029例,死亡213例),澳门特别行政区77例(出院66例),台湾地区16380例(出院13742例,死亡847例)。
素材来源:国家卫生健康委员会官方网站
文章来源:济南市文化和旅游局微信公众号
- 上一篇: 您有一份文化旅游地图请查收!
- 下一篇: 活动预告|槐图本周活动上新啦!(10月25日-10月31日)
